LOGO OA教程 ERP教程 模切知识交流 PMS教程 CRM教程 开发文档 其他文档  
 
网站管理员

RSA算法原理

admin
2013年9月8日 1:31 本文热度 4923
  本文作者:一起剥坚果

如果你问我,哪一种算法最重要?我可能会回答"公钥加密算法"

因为它是计算机通信安全的基石,保证了加密数据不会被破解。你可以想象一下,信用卡交易被破解的后果。

进入正题之前,我先简单介绍一下,什么是"公钥加密算法"。

一、一点历史

1976年以前,所有的加密方法都是同一种模式:

(1)甲方选择某一种加密规则,对信息进行加密;

(2)乙方使用同一种规则,对信息进行解密。

由于加密和解密使用同样规则(简称"密钥"),这被称为"对称加密算法"(Symmetric-key algorithm)。

这种加密模式有一个最大弱点:甲方必须把加密规则告诉乙方,否则无法解密。保存和传递密钥,就成了最头疼的问题。

1976年,两位美国计算机学家Whitfield Diffie 和 Martin Hellman,提出了一种崭新构思,可以在不直接传递密钥的情况下,完成解密。这被称为"Diffie-Hellman密钥交换算法"。这个算法启发了其他科学家。人们认识到,加密和解密可以使用不同的规则,只要这两种规则之间存在某种对应关系即可,这样就避免了直接传递密钥。

这种新的加密模式被称为"非对称加密算法"。

(1)乙方生成两把密钥(公钥和私钥)。公钥是公开的,任何人都可以获得,私钥则是保密的。

(2)甲方获取乙方的公钥,然后用它对信息加密。

(3)乙方得到加密后的信息,用私钥解密。

如果公钥加密的信息只有私钥解得开,那么只要私钥不泄漏,通信就是安全的。

1977年,三位数学家Rivest、Shamir 和 Adleman 设计了一种算法,可以实现非对称加密。这种算法用他们三个人的名字命名,叫做RSA算法。从那时直到现在,RSA算法一直是最广为使用的"非对称加密算法"。毫不夸张地说,只要有计算机网络的地方,就有RSA算法。

这种算法非常可靠,密钥越长,它就越难破解。根据已经披露的文献,目前被破解的最长RSA密钥是768个二进制位。也就是说,长度超过768位的密钥,还无法破解(至少没人公开宣布)。因此可以认为,1024位的RSA密钥基本安全,2048位的密钥极其安全。

下面,我就进入正题,解释RSA算法的原理。文章共分成两部分,今天是第一部分,介绍要用到的四个数学概念。你可以看到,RSA算法并不难,只需要一点数论知识就可以理解。

二、互质关系

如果两个正整数,除了1以外,没有其他公因子,我们就称这两个数是互质关系(coprime)。比如,15和32没有公因子,所以它们是互质关系。这说明,不是质数也可以构成互质关系。

关于互质关系,不难得到以下结论:

1. 任意两个质数构成互质关系,比如13和61。

2. 一个数是质数,另一个数只要不是前者的倍数,两者就构成互质关系,比如3和10。

3. 如果两个数之中,较大的那个数是质数,则两者构成互质关系,比如97和57。

4. 1和任意一个自然数是都是互质关系,比如1和99。

5. p是大于1的整数,则p和p-1构成互质关系,比如57和56。

6. p是大于1的奇数,则p和p-2构成互质关系,比如17和15。

三、欧拉函数

请思考以下问题:

任意给定正整数n,请问在小于等于n的正整数之中,有多少个与n构成互质关系?(比如,在1到8之中,有多少个数与8构成互质关系?)

计算这个值的方法就叫做欧拉函数,以φ(n)表示。在1到8之中,与8形成互质关系的是1、3、5、7,所以 φ(n) = 4。

φ(n) 的计算方法并不复杂,但是为了得到最后那个公式,需要一步步讨论。

第一种情况

如果n=1,则 φ(1) = 1 。因为1与任何数(包括自身)都构成互质关系。

第二种情况

如果n是质数,则 φ(n)=n-1 。因为质数与小于它的每一个数,都构成互质关系。比如5与1、2、3、4都构成互质关系。

第三种情况

如果n是质数的某一个次方,即 n = p^k (p为质数,k为大于等于1的整数),则

比如 φ(8) = φ(2^3) =2^3 - 2^2 = 8 -4 = 4。

这是因为只有当一个数不包含质数p,才可能与n互质。而包含质数p的数一共有p^(k-1)个,即1×p、2×p、3×p、...、p^(k-1)×p,把它们去除,剩下的就是与n互质的数。

上面的式子还可以写成下面的形式:

可以看出,上面的第二种情况是 k=1 时的特例。

第四种情况

如果n可以分解成两个互质的整数之积,

n = p1 × p2

φ(n) = φ(p1p2) = φ(p1)φ(p2)

即积的欧拉函数等于各个因子的欧拉函数之积。比如,φ(56)=φ(8×7)=φ(8)×φ(7)=4×6=24。

这一条的证明要用到"中国剩余定理",这里就不展开了,只简单说一下思路:如果a与p1互质(a

第五种情况

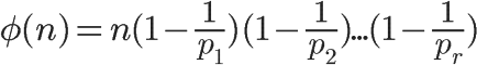
因为任意一个大于1的正整数,都可以写成一系列质数的积。

根据第4条的结论,得到

再根据第3条的结论,得到

也就等于

这就是欧拉函数的通用计算公式。比如,1323的欧拉函数,计算过程如下:

四、欧拉定理

欧拉函数的用处,在于欧拉定理。"欧拉定理"指的是:

如果两个正整数a和n互质,则n的欧拉函数 φ(n) 可以让下面的等式成立:

也就是说,a的φ(n)次方被n除的余数为1。或者说,a的φ(n)次方减去1,可以被n整除。比如,3和7互质,而7的欧拉函数φ(7)等于6,所以3的6次方(729)减去1,可以被7整除(728/7=104)。

欧拉定理的证明比较复杂,这里就省略了。我们只要记住它的结论就行了。

欧拉定理可以大大简化某些运算。比如,7和10互质,根据欧拉定理,

已知 φ(10) 等于4,所以马上得到7的4倍数次方的个位数肯定是1。

因此,7的任意次方的个位数(例如7的222次方),心算就可以算出来。

欧拉定理有一个特殊情况。

假设正整数a与质数p互质,因为质数p的φ(p)等于p-1,则欧拉定理可以写成

这就是著名的费马小定理。它是欧拉定理的特例。

欧拉定理是RSA算法的核心。理解了这个定理,就可以理解RSA。

五、模反元素

还剩下最后一个概念:

如果两个正整数a和n互质,那么一定可以找到整数b,使得 ab-1 被n整除,或者说ab被n除的余数是1。

这时,b就叫做a的"模反元素"

比如,3和11互质,那么3的模反元素就是4,因为 (3 × 4)-1 可以被11整除。显然,模反元素不止一个, 4加减11的整数倍都是3的模反元素 {...,-18,-7,4,15,26,...},即如果b是a的模反元素,则 b+kn 都是a的模反元素。

欧拉定理可以用来证明模反元素必然存在。

可以看到,a的 φ(n)-1 次方,就是a的模反元素。

好了,需要用到的数学工具,全部介绍完了。RSA算法涉及的数学知识,就是上面这些,下一次我就来介绍公钥和私钥到底是怎么生成的。


该文章在 2013/9/9 8:46:26 编辑过
关键字查询
相关文章
正在查询...
点晴ERP是一款针对中小制造业的专业生产管理软件系统,系统成熟度和易用性得到了国内大量中小企业的青睐。
点晴PMS码头管理系统主要针对港口码头集装箱与散货日常运作、调度、堆场、车队、财务费用、相关报表等业务管理,结合码头的业务特点,围绕调度、堆场作业而开发的。集技术的先进性、管理的有效性于一体,是物流码头及其他港口类企业的高效ERP管理信息系统。
点晴WMS仓储管理系统提供了货物产品管理,销售管理,采购管理,仓储管理,仓库管理,保质期管理,货位管理,库位管理,生产管理,WMS管理系统,标签打印,条形码,二维码管理,批号管理软件。
点晴免费OA是一款软件和通用服务都免费,不限功能、不限时间、不限用户的免费OA协同办公管理系统。
Copyright 2010-2025 ClickSun All Rights Reserved